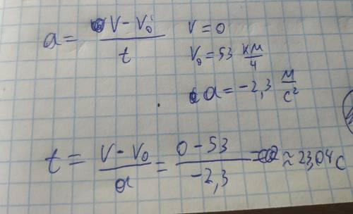
Автомобиль едет со скоростью 53 км/ч по залитой дождём дороге, как вдруг замечает человека, пересекающего проезжую часть. Какое время потребуется автомобилю до полной остановки, если он начал торможение с ускорением −2,3 м/с2?
Ответы
Ответ дал:
2
Ответ:
Около 23,04 с
Объяснение:
В формулу для ускорения подставляешь всё известное, затем выражаешь неизвестное. Конечная скорость 0, начальная 53 (тормозит ведь)
Приложения:

Вас заинтересует
2 года назад
2 года назад
3 года назад
3 года назад
8 лет назад
8 лет назад
9 лет назад