• Предмет: Алгебра
  • Автор: sinus348
  • Вопрос задан 7 лет назад

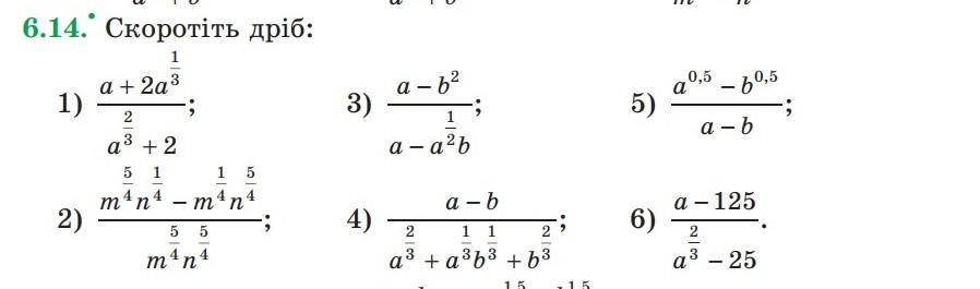
Даю 25 баллов, 6.14 задание. Срочно!​

Приложения:

Ответы

Ответ дал: gerinadana662
0

Ответ:

смотри на фото с решением

Приложения:
Вас заинтересует