Ответы
Ответ дал:
1
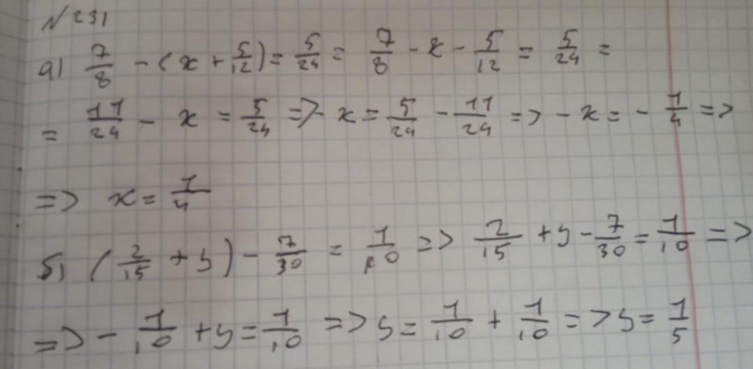
Ответ находится в файлах. Там всё расписано. Если будут вопросы к почерку - обращайся.
P.s желаю удачи!
Приложения:


gavrilenko651:
спасибо Вам! помогли)
Вас заинтересует
2 года назад
3 года назад
3 года назад
8 лет назад
8 лет назад
9 лет назад