• Предмет: Алгебра
  • Автор: kzarenan
  • Вопрос задан 7 лет назад

яке число с розв'язком нерівності 4x < -12.
срочно нужно

Ответы

Ответ дал: FaerVator
3

Ответ:

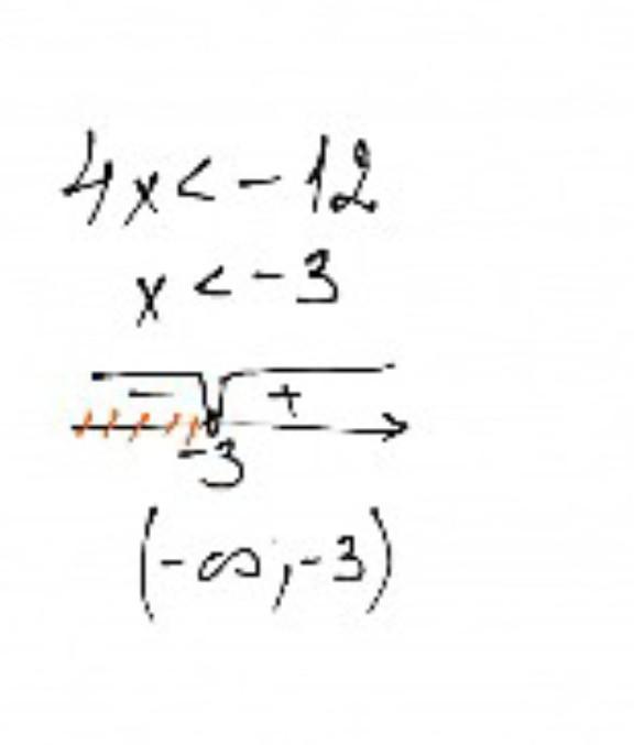
4x &lt;  - 12 \\ x &lt;  - 3

x∈(-∞;-3)

С ВАС ЛУЧШИЙ ОТВЕТ)


FaerVator: выберите лучшим ответом пожалуйста
Ответ дал: Аноним
1

Ответ:

см. вложение................

Приложения:
Вас заинтересует