Очень сильно прошу вас дам 30 баллов только быстрее сделайте очень вас прошу умоляю 3 заданий очень прошу помогите ОЧЕНЬ СРОЧНО НУЖНО СДЕЛАТЬ
Приложения:

salimakumekova:
10?
Ответы
Ответ дал:
2
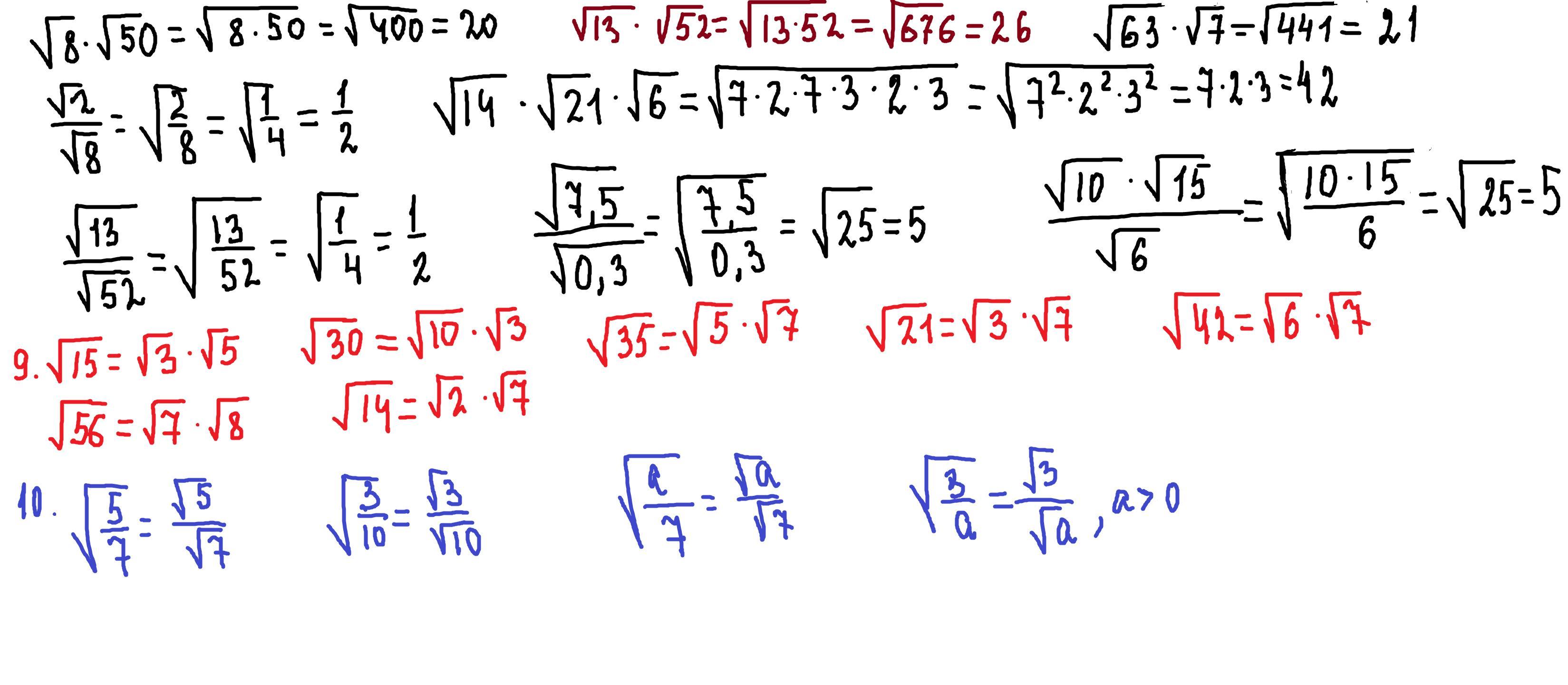
Ответ:
Пошаговое объяснение:
решение внизу
Приложения:

Вас заинтересует
2 года назад
2 года назад
3 года назад
8 лет назад
8 лет назад
9 лет назад
9 лет назад