Ответы
Ответ дал:
2
Ответ:
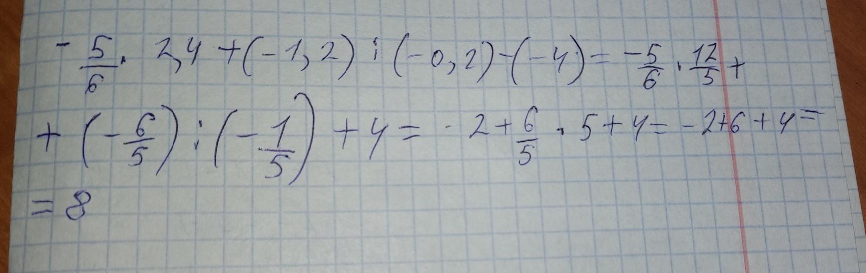
Смотрите ответ в фото выше.
Удачи в учёбе, в этом ничего трудного нету, главное вникайте в темы и учите всё, говорю как 7 класс.
Приложения:

Вас заинтересует
2 года назад
2 года назад
3 года назад
3 года назад
8 лет назад
9 лет назад