Ответы
Ответ дал:
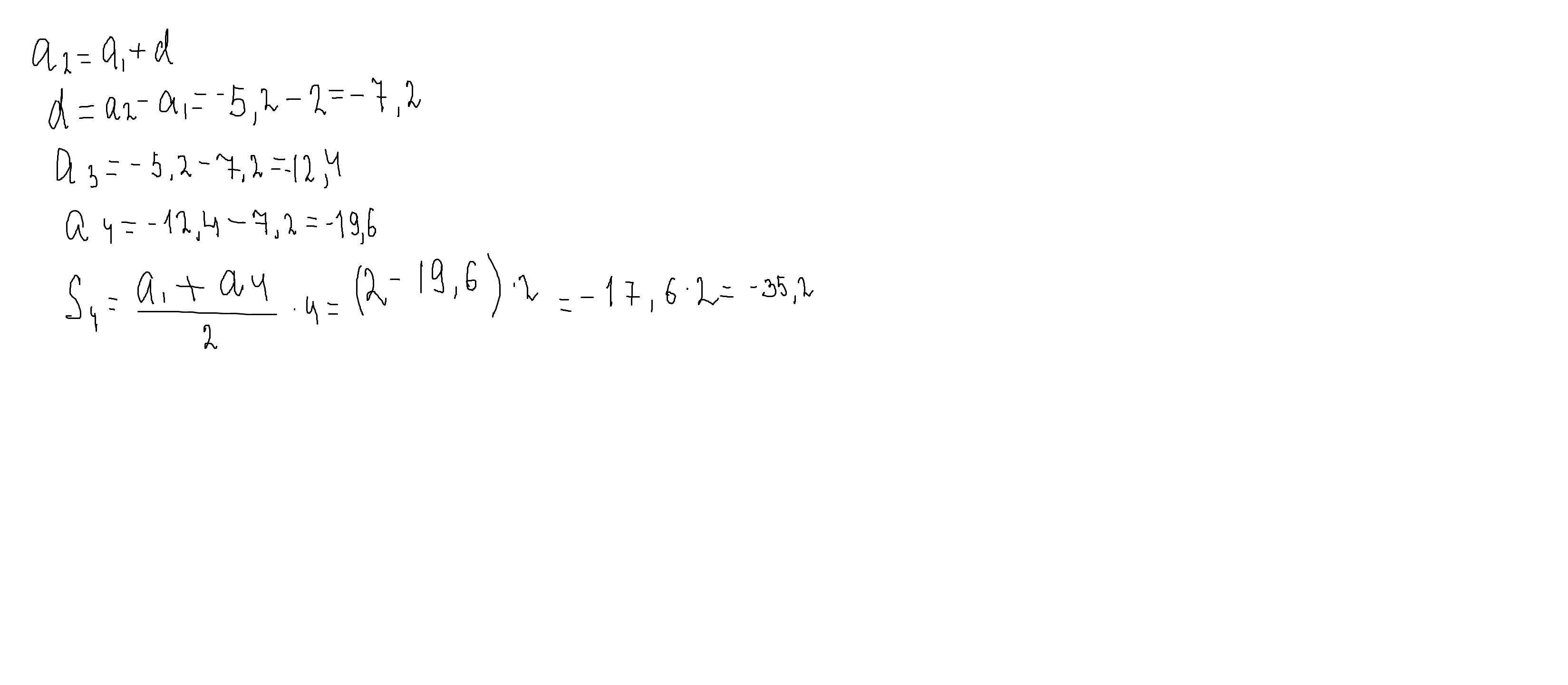
1
Ответ:
Объяснение:
извини,писала как на черновике
Приложения:

Вас заинтересует
2 года назад
2 года назад
3 года назад
8 лет назад
8 лет назад