Ответы
Ответ дал:
1
Ответ:
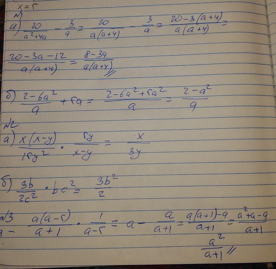
решение приведено на фотографии
Приложения:

Вас заинтересует
3 года назад
3 года назад
8 лет назад
9 лет назад