• Предмет: Математика
  • Автор: nina230409
  • Вопрос задан 7 лет назад

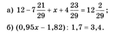
Помогите, пожалуйста. Тут нужно решить уравнения​

Приложения:

Ответы

Ответ дал: 99tasha
1

х= -12+7 21/29-4 23/29+12 2/29

х=-12+19 23/29-4 23/29

х= -12+15

х=3

б) 0,95х-1,82=3,4*1,7

0,95х-1,82=5,78

0,95х=5,78+1,82

0,95х=7,6

х=7,6:0,95

х=8

Вас заинтересует