• Предмет: Алгебра
  • Автор: galaxytabsamsung31
  • Вопрос задан 7 лет назад

решите пж. заранее спасибо.​

Приложения:

Ответы

Ответ дал: belkaaa11516
1

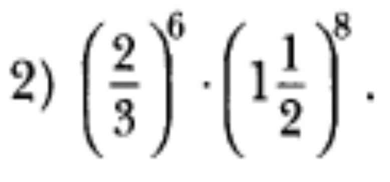
2^6/3^6 * 3^8/2^8 = 3^2/2^2 = 9/4 = 2,25


galaxytabsamsung31: спасибо
Ответ дал: Аноним
1
Вот. Это решение и ответ. Поставь спасибо пожалуйста
Приложения:

belkaaa11516: так это только первая дробь решена, а не всё выражение
Аноним: На фото у тебя только это. Посмотри что ты отпрвила)(
galaxytabsamsung31: доброго времени суток. но у меня на фото всё выражение. спасибо за то, что вы ответили на мой вопрос)
Вас заинтересует