• Предмет: Алгебра
  • Автор: moroseya
  • Вопрос задан 7 лет назад

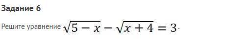
алгебра решите уравнение

Приложения:

Ответы

Ответ дал: lidiasaraa3
1

Ответ:

Объяснение:...........

Приложения:
Вас заинтересует