• Предмет: Математика
  • Автор: moonwalker06
  • Вопрос задан 7 лет назад

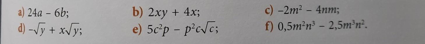
вынесите за скобки общий множитель.
вынести то могу, но как записывать дальше - нужна помощь.​

Приложения:

Ответы

Ответ дал: sergeevaolga5
1

24a-6b=6(4a-b)\\\\2xy+4x=2x(y+2)\\\\-2m^2-4nm=-2m(m+2n)\\\\-\sqrt{y}+x\sqrt{y}=x\sqrt{y}-\sqrt{y}=\sqrt{y}(x-1)\\\\5c^2p-p^2c\sqrt{c}=pc\sqrt{c}(5\sqrt{c}-p)\\\\0,5m^2n^3-2,5m^3n^2=0,5m^2n^2(n-5m)

Вас заинтересует