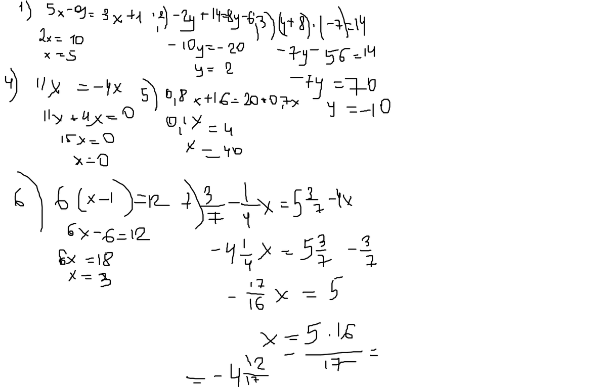
Решите уравнение:
1) 5х - 9 = 3х + 1
2) -2у + 14 = 8у - 6
3) (у + 8) * ( - 7) = 14
4) 11х = - 4х
5) 0,8х + 16 = 20 + 0,7х
6) 6 * (х - 1) = 12
7) 3/7 - 1/4х = 5 целых 3/7 - 4х
Ответы
Ответ дал:
0
Вот,это так решается,всё очень просто
Приложения:
Вас заинтересует
3 года назад
3 года назад
8 лет назад
8 лет назад
11 лет назад
11 лет назад
11 лет назад