• Предмет: Математика
  • Автор: godziillaa777
  • Вопрос задан 7 лет назад

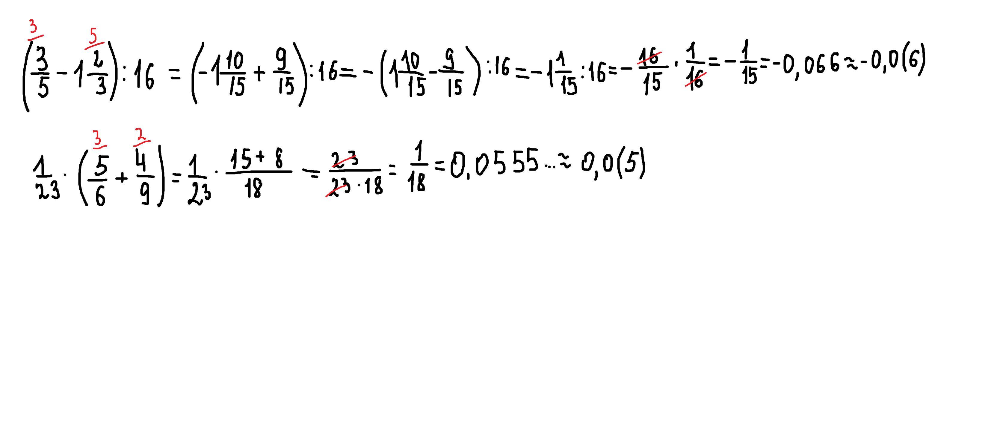
выполните действия, результат запишите в виде десятичной периодической дроби​

Приложения:

godziillaa777: помогите пожалуйста
godziillaa777: пожалуйстааааааааа
godziillaa777: срочноооооо

Ответы

Ответ дал: parus77
1

Ответ:

Пошаговое объяснение:

решение внизу

Приложения:

godziillaa777: большое спасибо
Вас заинтересует