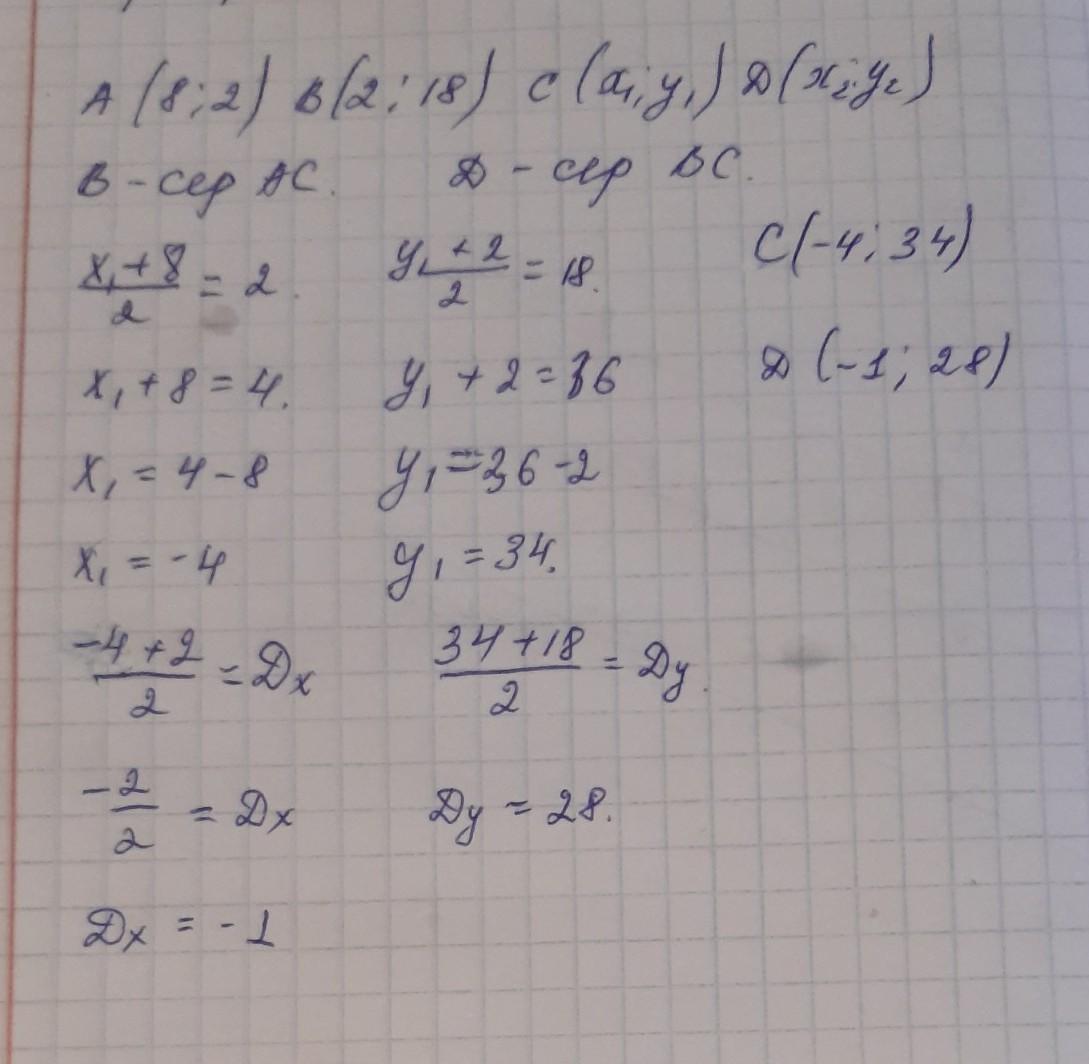
Даны точки (8;2) и (2;18).
Найди координаты точек и , если известно, что точка — середина отрезка , а точка — середина отрезка .
(;);
(;).
Приложения:

Ответы
Ответ дал:
0
Объяснение:
см фото. , ,,,,,,,, ,,,,,,,,,,,,,
Приложения:

Вас заинтересует
2 года назад
2 года назад
3 года назад
3 года назад
8 лет назад
8 лет назад