• Предмет: Математика
  • Автор: Аноним
  • Вопрос задан 10 лет назад

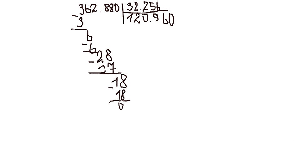
как разделить столбиком                                362 .880:3.021 362.880:4.032 362.880:32.256

Ответы

Ответ дал: АнастасьяМаксимовна
0
Простите только так.Ну хоть как то. Ещё извиняюсь что очень долго.
Приложения:
Ответ дал: Аноним
0
спасибо
Ответ дал: Аноним
0
а где ищё
Вас заинтересует