Ответы
Ответ дал:
1
Вроде так надеюсь помогла, ответьте если правильно!
Приложения:
Ответ дал:
0
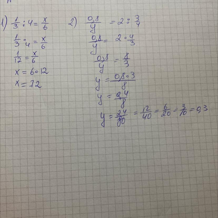
1/3 : 4 = x/6;
1/3 * 1/4 = x/6;
1/12 = x/6;
6 = 12x;
12x = 6;
x = 1/2 или модно написать 0,5, это одно и тоже
0,8/у = 2 : 3/4;
4/5у = 8/3;
12 = 40у;
40у = 12;
у = 3/10, у ≠ 0;
у = 3/10 или 0,3 это одно и тоже.
1/3 * 1/4 = x/6;
1/12 = x/6;
6 = 12x;
12x = 6;
x = 1/2 или модно написать 0,5, это одно и тоже
0,8/у = 2 : 3/4;
4/5у = 8/3;
12 = 40у;
40у = 12;
у = 3/10, у ≠ 0;
у = 3/10 или 0,3 это одно и тоже.
alisentaa:
можно*
Вас заинтересует
2 года назад
3 года назад
3 года назад
9 лет назад
10 лет назад