Тело, двигаясь равноускоренно с ускорением 0,2мс², увеличило свою скорость от 5мс до 6мс. Какое расстояние оно при этом проехало?
Ответы
Ответ дал:
0
Объяснение:
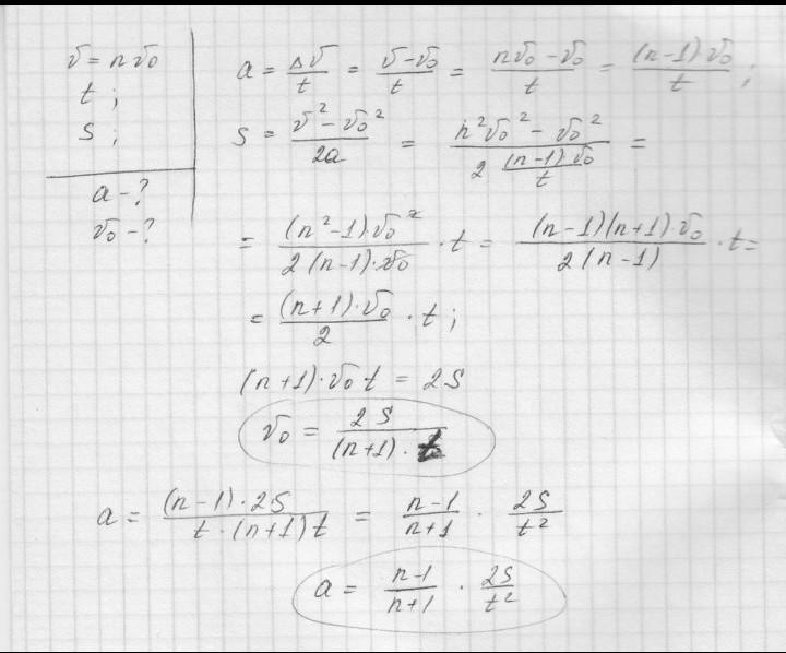
Подставим формулу для пройденого пути, а дальше на фото все есть..
Приложения:
Вас заинтересует
2 года назад
3 года назад
3 года назад
9 лет назад
9 лет назад
10 лет назад
10 лет назад