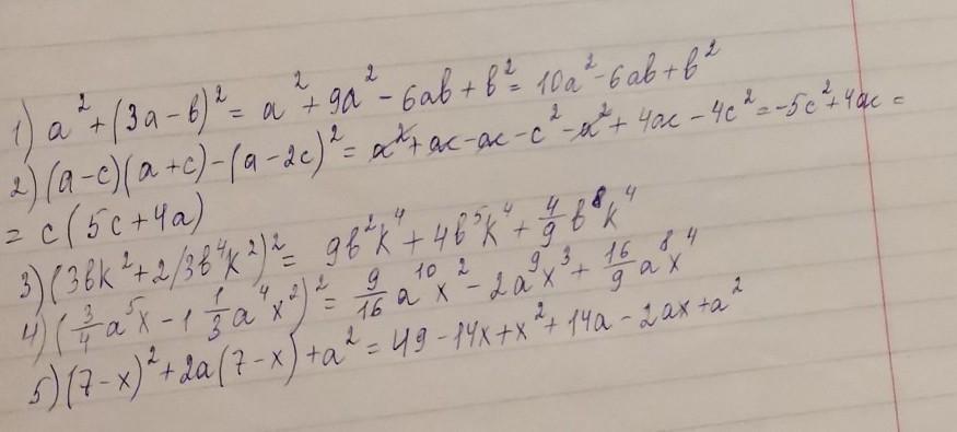
сократить 1) a²+(3a-в)²= 2)(а-с)(а+с)-(a-2c)²= 3)(3вк²+2/3b⁴к²)²= 4)(3/4а⁵х-1 1/3а⁴х²)² 5)(7-х)²+2а(7-х)+а²
Ответы
Ответ дал:
0
Ответ:
Подробное решение во вложении
Приложения:

Вас заинтересует
2 года назад
2 года назад
3 года назад
3 года назад
8 лет назад
8 лет назад
9 лет назад