• Предмет: Геометрия
  • Автор: Prostochelovek98
  • Вопрос задан 7 лет назад

Напишите уравнение плоскости(полное решение)

Приложения:

Ответы

Ответ дал: NNNLLL54
2

Ответ:

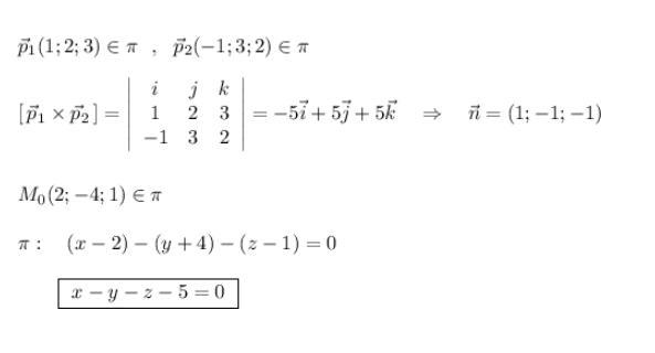
\vec{p}_1(1;2;3)\in \pi \ \ ,\ \ \vec{p}_2(-1;3;2)\in \pi \\\\{}[\, \vec{p}_1\times \vec{p}_2\, ]=\left|\begin{array}{ccc}i&j&k\\1&2&3\\-1&3&2\end{array}\right|=-5\vec{i}+5\vec{j}+5\vec{k}\ \ \ \Rightarrow \ \ \ \vec{n}=(1;-1;-1)\\\\\\M_0(2;-4;1)\in \pi \\\\\pi :\ \ \ (x-2)-(y+4)-(z-1)=0\\\\{}\ \ \ \ \ \ \boxed{\ x-y-z-5=0\ }                  

Приложения:

alinadmitrievna81: Здравствуйте, помогите пожалуйста с геометрией?
Аноним: Здравствуйте вы не могли бы вы мне помочь с геометрией пожалуйста
Вас заинтересует