• Предмет: Физика
  • Автор: ss01o
  • Вопрос задан 7 лет назад

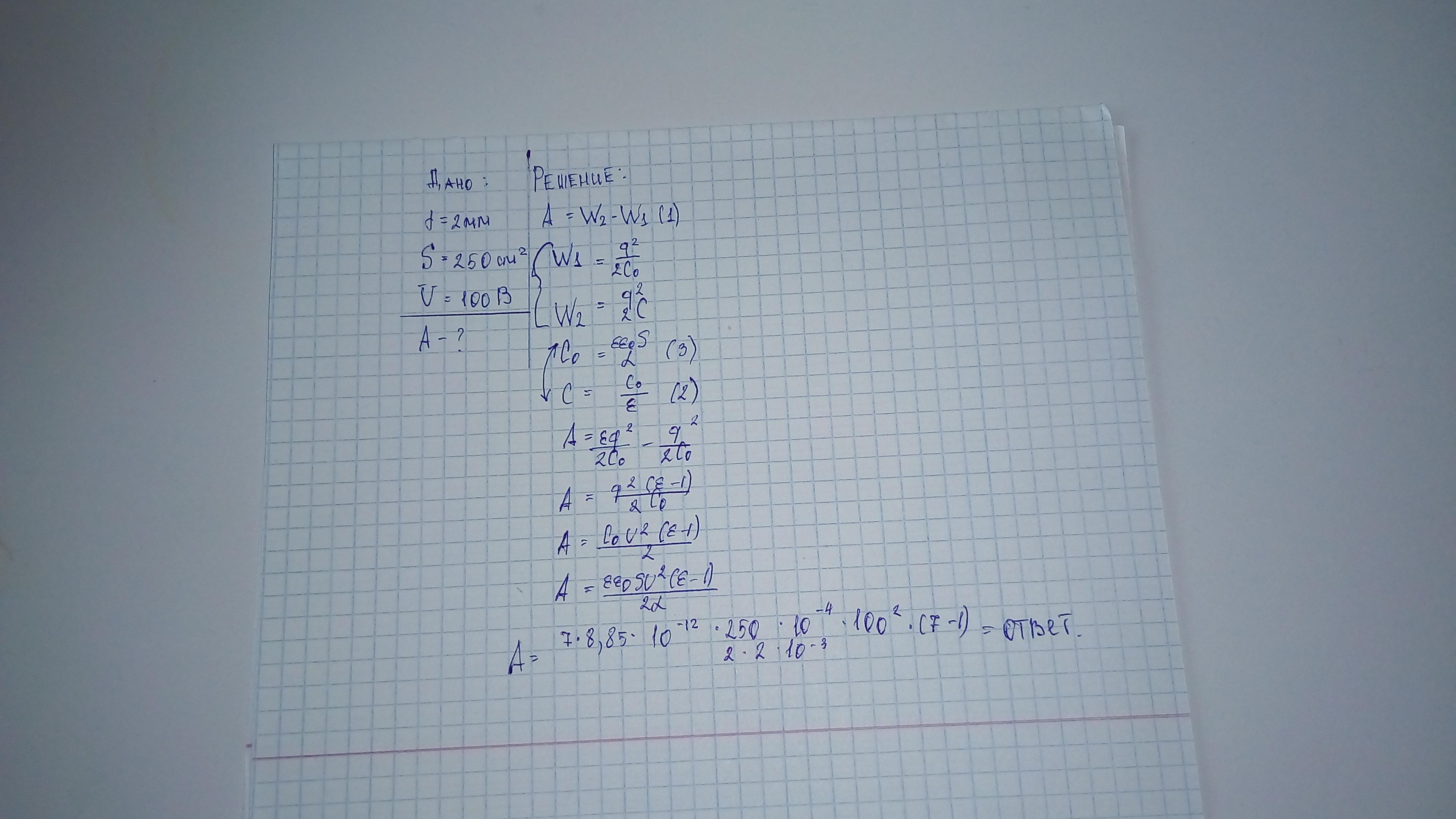
Плоский конденсатор имеет в качестве изолирующего слоя диэлектрик толщиной 2 мм и площадью 250 см2 с диэлектрической проницаемостью 6. Конденсатор зарядили до разности потенциалов 100 В, после чего
отключили от источника напряжения. Определить работу, которую нужно
совершить, чтобы вынуть стеклянную пластинку из конденсатора (трение
не учитывать)

Ответы

Ответ дал: 71MAKS71
3

Пожалуйста, если я тебе помог, назови мой ответ ЛУЧШИМ!

Приложения:
Вас заинтересует