• Предмет: Алгебра
  • Автор: kittk
  • Вопрос задан 7 лет назад


ПЖПЖПЖПЖП СРОЧНО!!’т

Приложения:

Ответы

Ответ дал: Tes2able
1

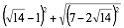
Ответ:

8

Объяснение:

( \sqrt{14}  - 1) {}^{2}  +  \sqrt{(7 - 2 \sqrt{14} ) {}^{2} }  = 14 - 2 \sqrt{14}  + 1 +  |7 - 2 \sqrt{14} |  = 14 - 2 \sqrt{14}  + 1  - 7  +  2 \sqrt{14} = 8

Вас заинтересует