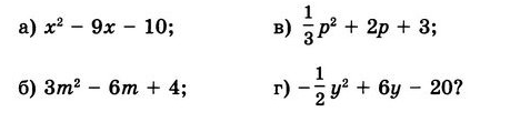
Можно ли разложить на множители квадратный трех член:
Желательно с решением, а не просто ответ.
Приложения:

Ответы
Ответ дал:
0
посмотрите на листочке ответ
Приложения:

Вас заинтересует
2 года назад
2 года назад
8 лет назад
10 лет назад
10 лет назад
10 лет назад