Ответы
Ответ дал:
0
теорема виета для x^2+px+q
x1+x2=-p
x1x2=q
--------------------
x^2+3x-9=0
x1+x2=-3
x1x2=-9
x1²+x2²=(x1+x2)²-2x1x2=(-3)²-2*(-9)=9+18=27
-------------------------------
x^2+3x-9=0
1/x1 1/x2
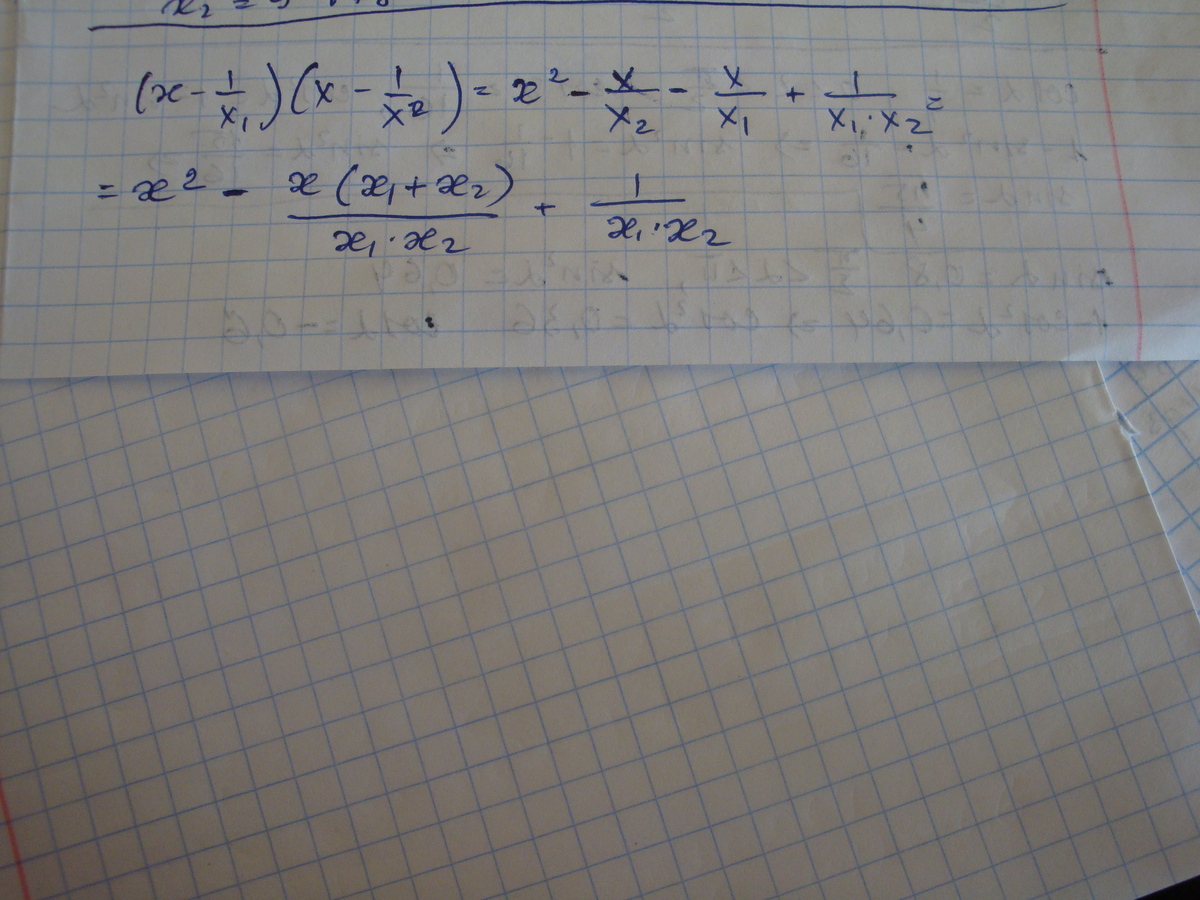
(x-1/x1)(x-1/x2)=x^2-1/x1*x-1/x2*x+1/x1x2=x^2-(x1+x2)/x1x2*x+1/x1x2=x^2-(-9)/(-3)*x-1/(-9)=
=x²-3x+1/9
x1+x2=-p
x1x2=q
--------------------
x^2+3x-9=0
x1+x2=-3
x1x2=-9
x1²+x2²=(x1+x2)²-2x1x2=(-3)²-2*(-9)=9+18=27
-------------------------------
x^2+3x-9=0
1/x1 1/x2
(x-1/x1)(x-1/x2)=x^2-1/x1*x-1/x2*x+1/x1x2=x^2-(x1+x2)/x1x2*x+1/x1x2=x^2-(-9)/(-3)*x-1/(-9)=
=x²-3x+1/9
Ответ дал:
0
решениеееееееееееееееееееееееееееееее
Приложения:
Вас заинтересует
3 года назад
8 лет назад
11 лет назад
11 лет назад
11 лет назад