• Предмет: Алгебра
  • Автор: ladaa27
  • Вопрос задан 7 лет назад

решите подробно со всеми формулами пж
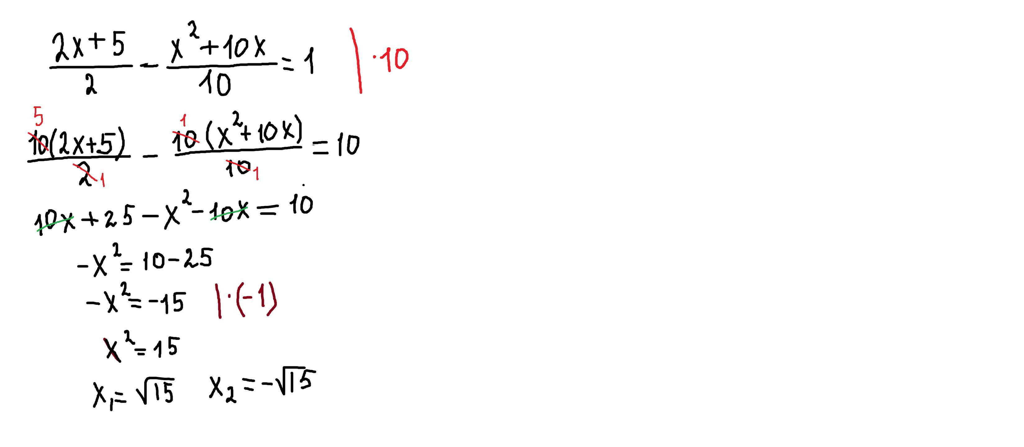
ПРИМЕР НА ФОТО , СРОЧНО ПЖ

Приложения:

Ответы

Ответ дал: grandmotherrrrrrrrr
1

Объяснение:

5(2х+5)-(х²+10х)

————————=1

10

10х+25-х²-10х

———————— -1=0

10

10х+25-х²-10х-10

—————————— =0

10

15-х²

————————=0 | домножаем на (-10)

10

х²-15=0

х²=15

х1=√15 и х2= -√15

Ответ дал: parus77
1

Ответ:

х1=√15 х2=-√15

Объяснение:

здесь формул нет

Приложения:
Вас заинтересует