Ответы
Ответ дал:
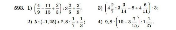
4
Ответ:
..............,..,.......
Приложения:

enzo1zumegu87:
спасибо
Вас заинтересует
2 года назад
2 года назад
3 года назад
8 лет назад
8 лет назад
9 лет назад