• Предмет: Математика
  • Автор: Аноним
  • Вопрос задан 7 лет назад

СРОЧНО ПОМОГИТЕ очень нужно​

Приложения:

Ответы

Ответ дал: maryam73omg
1

Ответ:

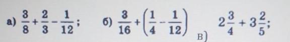
А) общий знаменательнь 24 получается:

А) 9/24+16/24-2/24=23/24

Б)общий знаменательнь 64

Б) 12/64+(16/64-4/64)=26/24

В)общ знамен 20

=11/4+17/5=55/20+68/20=123/20

Пошаговое объяснение:

Наверное так

Вас заинтересует