• Предмет: Математика
  • Автор: pikasodzeferson56
  • Вопрос задан 7 лет назад

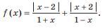
100 баллов Дослідіть на парність функцію.

Приложения:

Ответы

Ответ дал: Аноним
1

Відповідь: парна

Покрокове пояснення: фото

Приложения:
Вас заинтересует