Ответы
Ответ дал:
0
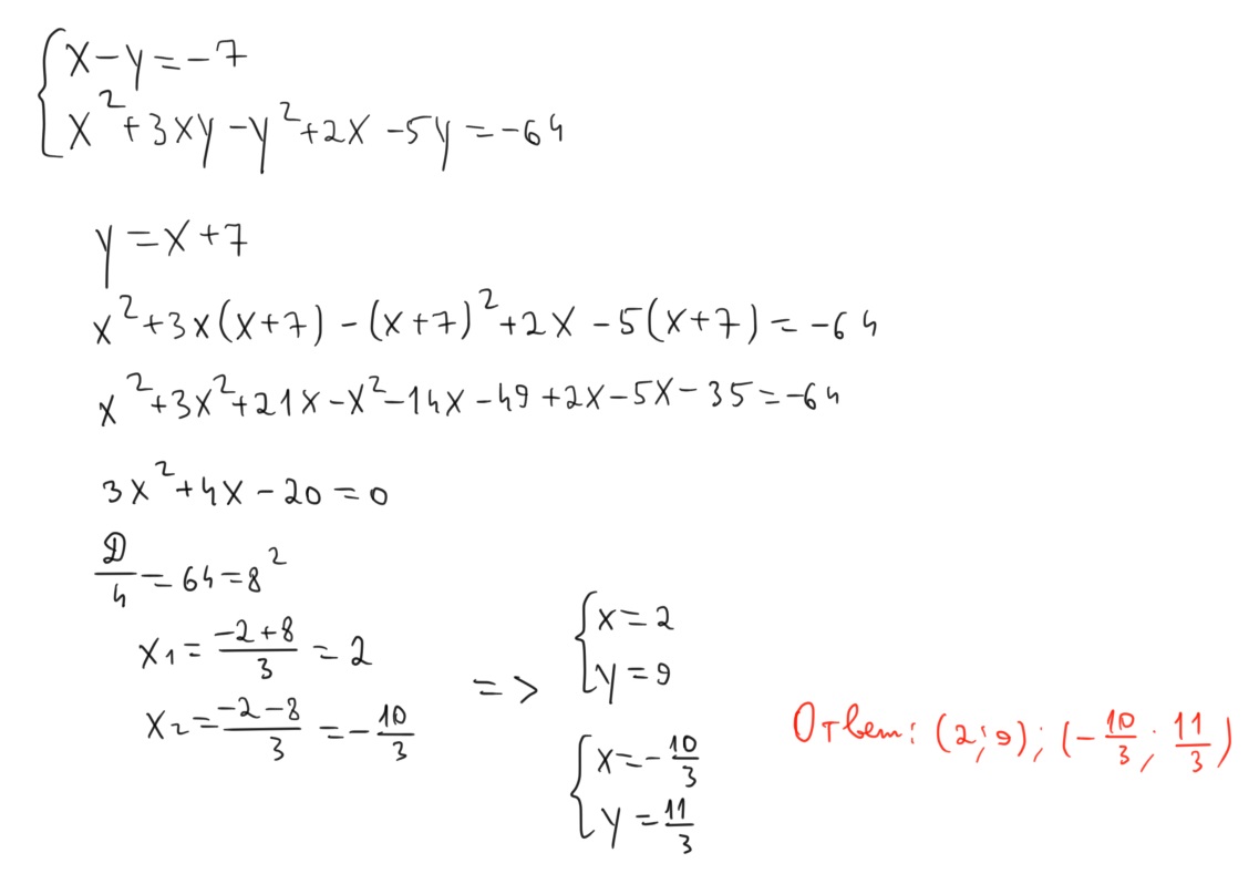
Решение на картинке.
Приложения:
Ответ дал:
0
так как получилось квадратное уравнение вида aу^2+bу+c=0, то оно всегда имеет 2 корня(решения поэтому у1=9 и у2 =11/3. То есть подставив у=9 и/или у=11/3 сохраняется равенство aу^2+bу+c=0
Ответ дал:
0
а как мы нашли 11/3 я поняла как 9 а как?
Ответ дал:
0
спасибо)
Ответ дал:
0
(х-у)=-7
x=(y-7)
x^2+3xy-y^2+2x-5y=-64
(x^2-y^2)+3xy+2x-5y=-64
(x-y)(x+y)+3xy+2x-5y=-64
(-7)(y-7+y)+3y(y-7)+2(y-7)-5y=-64
49-14y+3y^2-21y+2y-14-5y+64=0
3y^2-38y+99=0
D=(-38)^2-4*3*99=1444-1188=256=√256=16
y1=(-(-38)+16)/2*3=(38+16)/6
y1=9
y2=(-(-38)-16)/6=(38-16)/6
y2=22/6=11/3=3⅔
x1=(y1-7)=9-7
x1=2
x2=(y2-7)=((11/3)-7)=((11-21)/3)
x2=-10/3=-3⅓
(2;9) и (-3⅓;3⅔)
x=(y-7)
x^2+3xy-y^2+2x-5y=-64
(x^2-y^2)+3xy+2x-5y=-64
(x-y)(x+y)+3xy+2x-5y=-64
(-7)(y-7+y)+3y(y-7)+2(y-7)-5y=-64
49-14y+3y^2-21y+2y-14-5y+64=0
3y^2-38y+99=0
D=(-38)^2-4*3*99=1444-1188=256=√256=16
y1=(-(-38)+16)/2*3=(38+16)/6
y1=9
y2=(-(-38)-16)/6=(38-16)/6
y2=22/6=11/3=3⅔
x1=(y1-7)=9-7
x1=2
x2=(y2-7)=((11/3)-7)=((11-21)/3)
x2=-10/3=-3⅓
(2;9) и (-3⅓;3⅔)
Приложения:
Ответ дал:
0
Спасибо большое)
Вас заинтересует
3 года назад
8 лет назад
11 лет назад
11 лет назад