Ответы
Ответ дал:
1
Ответ:
-9
Объяснение:
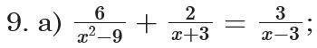
6 + 2 * (х - 3) = 3 * (х + 3)
6 + 2х - 6 = 3х + 9
2х - 3х = 9
-х = 9
х = -9
Ответ дал:
1
Ответ:
............................
Приложения:

Вас заинтересует
3 года назад
8 лет назад
8 лет назад
9 лет назад