• Предмет: Алгебра
  • Автор: villiwonkka1
  • Вопрос задан 7 лет назад

145
_._._._._._._._._._​

Приложения:

Ответы

Ответ дал: natalyabryukhova
2

Объяснение:

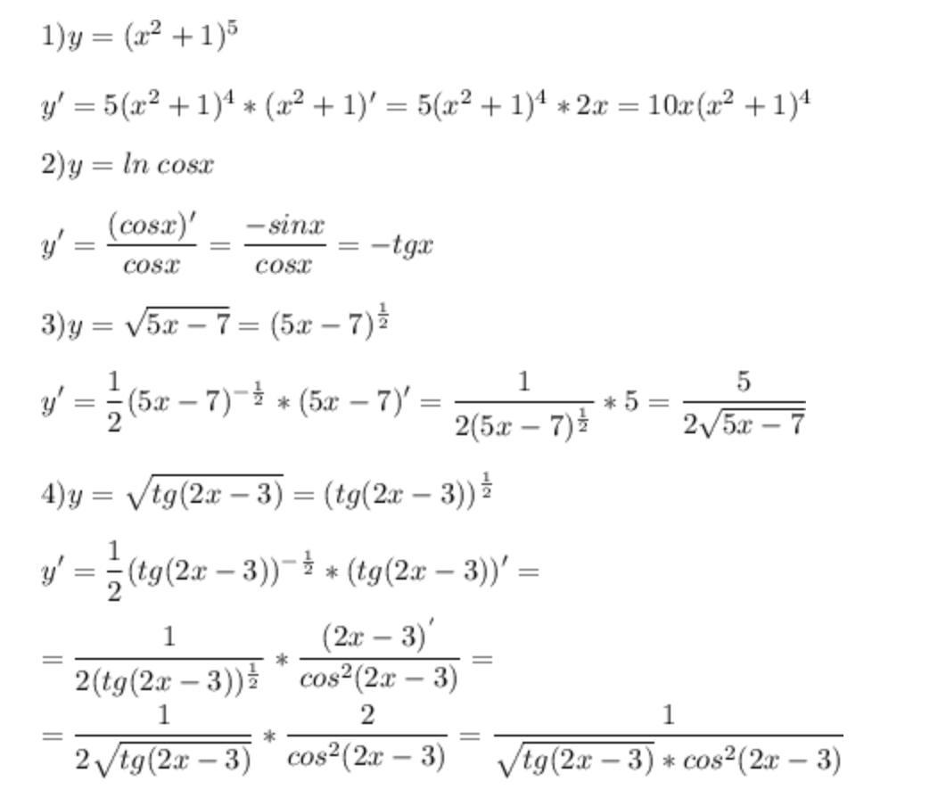
1) y=(x^2+1)^5\\\\y'=5(x^2+1)^4*(x^2+1)'=5(x^2+1)^4*2x=10x(x^2+1)^4

\displaystyle        2)y=ln\;cosx\\\\y'=\frac{(cosx)'}{cosx}= \frac{-sinx}{cosx} =-tgx

\displaystyle        3) y=\sqrt{5x-7} =(5x-7)^{\frac{1}{2} }\\\\y'=\frac{1}{2}(5x-7)^{-\frac{1}{2} } *(5x-7)'=\frac{1}{2(5x-7)^{\frac{1}{2} }} *5=\frac{5}{2\sqrt{5x-7} }

\displaystyle        4)y=\sqrt{tg(2x-3)}=(tg(2x-3))^{\frac{1}{2} } \\\\y'=\frac{1}{2}(tg(2x-3))^{-\frac{1}{2} } *(tg(2x-3))'=\\\\=\frac{1}{2(tg(2x-3))^{\frac{1}{2} }} *\frac{(2x-3)^'}{cos^2(2x-3)} =\\\\=\frac{1}{2\sqrt{tg(2x-3)} } *\frac{2}{cos^2(2x-3)}=\frac{1}{\sqrt{tg(2x-3)}*cos^2(2x-3) }

Использованы формулы:

\displaystyle        (x)^n=nx^{n-1}\\\\(cosx)'=-sinx\\\\(cx)'=c,\;\;\;c=const\\\\(c)'=0\\\\

Приложения:
Вас заинтересует