• Предмет: Математика
  • Автор: AlphaDragon
  • Вопрос задан 7 лет назад

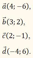
Вектори задані своїми координатами в прямокутній системі координат на площині Які з цих векторів рівні ? *
1 point

вектори а і b
вектори а і c
вектори а і d
вектори c і d
Таких векторів немає...

Приложения:

Ответы

Ответ дал: raedlr
0

Ответ:

a и d

Пошаговое объяснение:

Длины векторов:

Приложения:
Вас заинтересует