в) 2,5 (4-3y)-y+2,3;
г) (14—3,6b)-(12+10,4b).
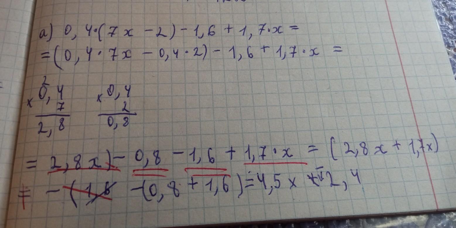
(РЕШИТЕ УМОЛЯЮ НЕ МОГУ РЕШИТЬ КАК В ТЕТРАДИ В СТОЛБИК ВЫЧЕСЛЕНИЯ)
Приложения:

Аноним:
Блин, а что баллов так мало?
Ответы
Ответ дал:
0
Ответ:
2-14b
Объяснение:
Раскрываем скобки. 14-3.6b-12-10.4b приводим подобные. 14-12-14b=2-14b
Вас заинтересует
2 года назад
3 года назад
8 лет назад
8 лет назад
9 лет назад
9 лет назад