• Предмет: Математика
  • Автор: alksandrtutikov
  • Вопрос задан 7 лет назад

Алгебра срочно 8 класс 50баллов

Приложения:

Ответы

Ответ дал: Аноним
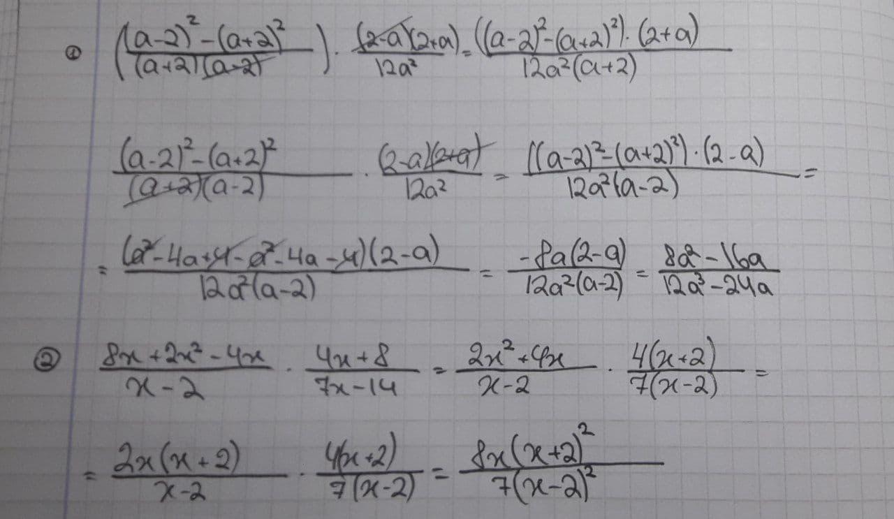
1

третьем задании странный ответ выходит, если получится потом добавлю, во втором кое-что забыла дописать, смотри третью фотографию

Приложения:

Аноним: тождества не заметила сейчас добавлю
alksandrtutikov: Хорошо жду спасибо
Аноним: нельзя больше 5-ти фотографий прикрепить, создай еще один вопрос, докину туда
alksandrtutikov: Ок
Вас заинтересует