• Предмет: Математика
  • Автор: nitroyout
  • Вопрос задан 7 лет назад

Пж, помогите, срочн! Дам много баллов
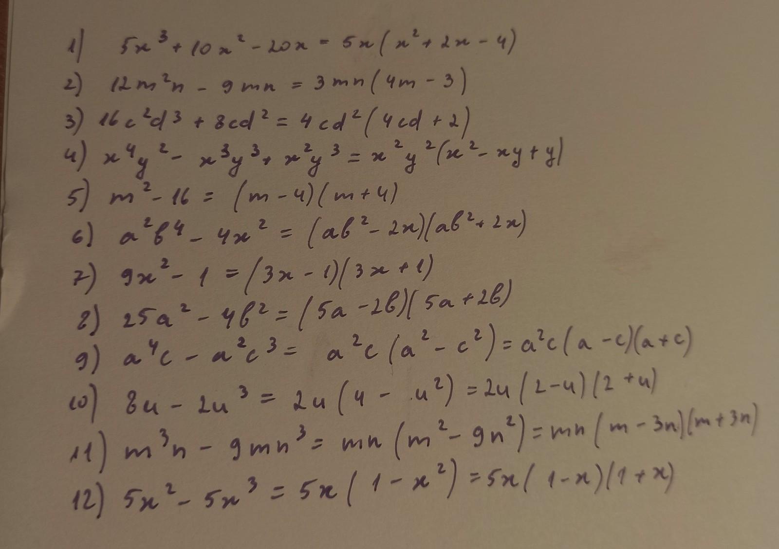
Разложить на множители
Задания на фото, весь 271 номер, пожалуйста.
Заранее спасибо)​

Приложения:

Ответы

Ответ дал: oksanaaasm17
1

...........................

Приложения:

nitroyout: Спасибочки)
oksanaaasm17: дай лучшый ответ если не сложно)
nitroyout: Окки)
nitroyout: Пж, помогите по математике, я задал опять по математике вопрос, в профиле позырьте аж
Вас заинтересует