• Предмет: Математика
  • Автор: fedor1234321
  • Вопрос задан 7 лет назад

Математический анализ. Помогите найти предел функции.

Приложения:

fedor1234321: А можете еще помочь с одним номером?
IUV: аналогичным ?
fedor1234321: Тоже из мат.анализа, но нужно определить порядок n бесконечно большой функции
IUV: попробовать можно
fedor1234321: Мне просто заново задать вопрос?
IUV: прийдется, количество балов мне не важно
IUV: задайте вопрос и помогите другому
fedor1234321: Задал
fedor1234321: и помог
IUV: помог

Ответы

Ответ дал: IUV
1

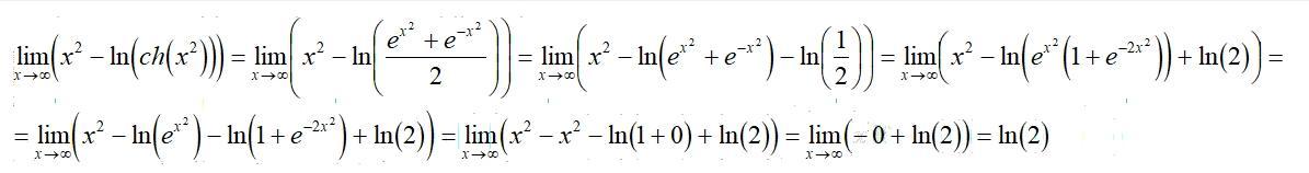
Ответ:

ln(2)

Пошаговое объяснение:

во вложении

Приложения:
Вас заинтересует