• Предмет: Алгебра
  • Автор: fabek7577
  • Вопрос задан 7 лет назад

помогите пажалуста заране спасибо

Приложения:

Ответы

Ответ дал: atamankinaelizaveta5
1

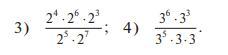
Ответ:

2¹³/2¹²

ответ 2

3⁹/3⁶

ответ 9


atamankinaelizaveta5: лучший ответ можно?
Вас заинтересует