• Предмет: Математика
  • Автор: raxmetov19800715
  • Вопрос задан 7 лет назад

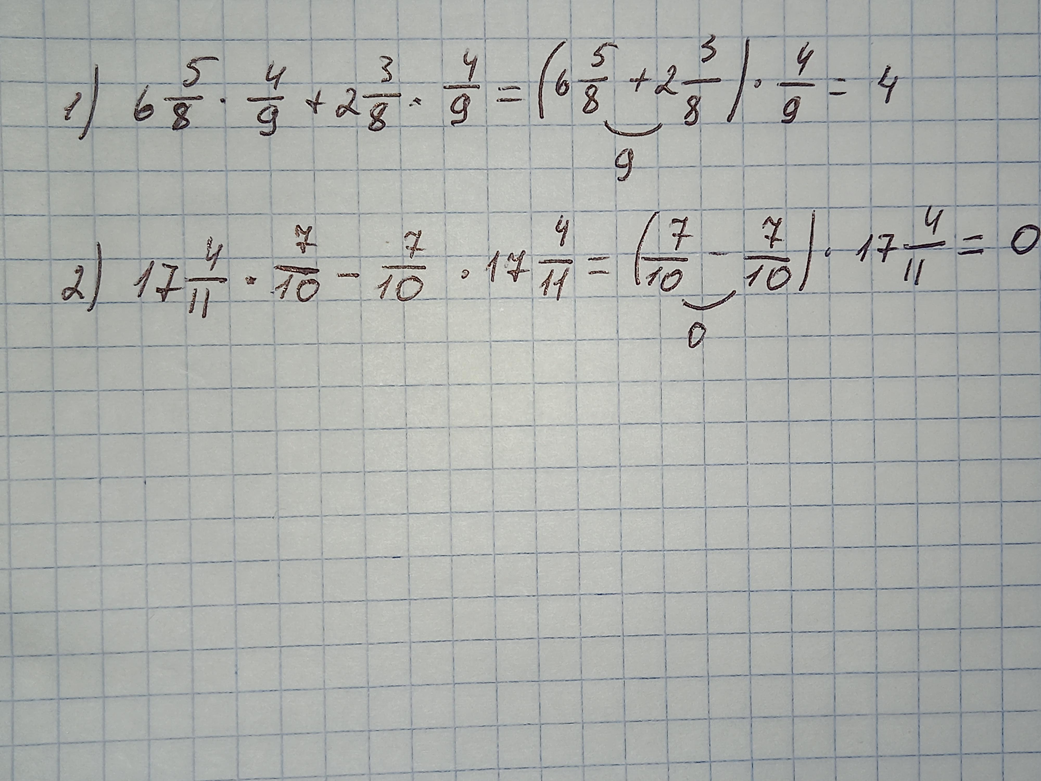
385 Вычислите удобным способом 1) 6 5/8× 4/9 + 2 3/8 x 4/9. 2) 17 4/11×7/10-7/10×7 4/11​

Ответы

Ответ дал: mohichehrasatt95
1

Ответ: 1) 4 2) 0

Пошаговое объяснение:

всё на листочке

Приложения:
Ответ дал: FbifMillenium
1

Ответ:

1) 6 5/8× 4/9 + 2 3/8 x 4/9.

6\frac{5}{8} *\frac{4}{9} +2\frac{3}{8}*\frac{4}{9} =\frac{8*6+5}{8}  *\frac{4}{9} +\frac{8*2+3}{8}*\frac{4}{9}=\frac{53}{8}  *\frac{4}{9} +\frac{19}{8}*\frac{4}{9}=\frac{52}{2}*\frac{1}{9}+\frac{19}{2} *\frac{1}{9}=\\\\=\frac{52}{18}+\frac{19}{18}   =\frac{72}{18}=4.

2) 17 4/11×7/10-7/10×7 4/11​

17\frac{4}{11} *\frac{7}{10}-\frac{7}{10} *7\frac{4}{11}=\frac{11*17+4}{11} *\frac{7}{10}-\frac{7}{10} *\frac{11*7+4}{11}=\frac{191}{11} *\frac{7}{10}-\frac{7}{10} *\frac{81}{11}=\\\\=\frac{1337}{110} -\frac{567}{110} =\frac{770}{110}=7.

Вас заинтересует