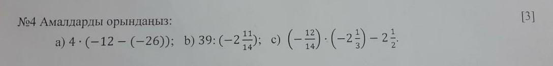
Выполните действия: а) 4 ÷ ( - 12 - ( - 26 )) б) 39 ÷ ( - 2 11/14 ) с) ( - 12/14 ) × ( - 2 1/3 ) - 2 1/2
Приложения:

Аноним:
я же тебе ответила недавно
Ответы
Ответ дал:
0
Ответ:
Пошаговое объяснение:
a) 4(-12-(-26))=4(-12+26)=4·14=56
b) 39÷(-2 11/14)=39÷(-39/14)=39·(-14/39)=-14
с) (-12/14)·(-2 1/3)-2 1/2=(-6/7)·(-7/3)-2 1/2=2-2 1/2=-1/2=-0,5
Вас заинтересует
2 года назад
2 года назад
3 года назад
3 года назад
8 лет назад