• Предмет: Математика
  • Автор: aimoka39
  • Вопрос задан 7 лет назад

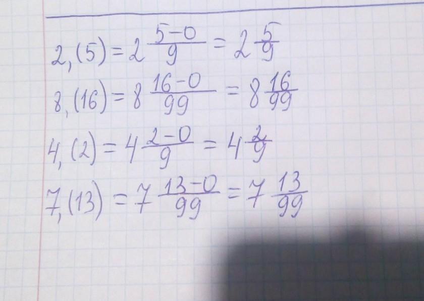
599. Запишите в виде обыкновенной дроби:
1) 2,(5);
2) 8,(16); 3) 4,(2);
4) 7,(13).
Срочно помогите ставлю 40 балов


jekadva: 1) 2,(5) = 2 5/9
2) 8,(16); 3) 4,(2);
4) 7,(13).
jekadva: 2) 8,(16) = 8 16/99 ; 3) 4,(2) = 4 2/9 ;
4) 7,(13) = 7 13/99
aimoka39: Спасибо
aimoka39: Помоги ещё пж
aimoka39: 3) 4,(2)
jekadva: 3) 4,(2) = 4 2/9

Ответы

Ответ дал: Elena3982
0

Пошаговое объяснение:

Вот тебе ответ.........

Приложения:
Вас заинтересует