Ответы
Ответ дал:
0
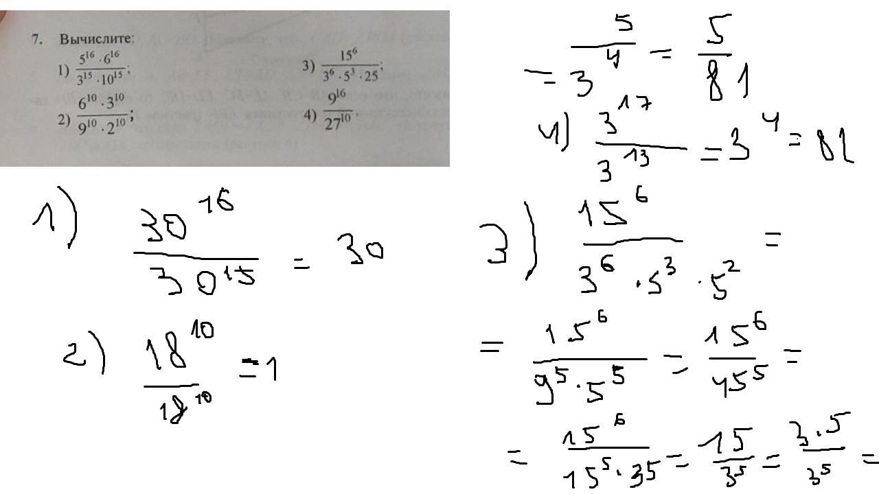
ответ:;
1)30
2)1
3)5
4)9
axundovaulkr:
спс
Ответ дал:
0
Ответ:
Пошаговое объяснение:
Приложения:

Вас заинтересует
2 года назад
2 года назад
3 года назад
3 года назад
8 лет назад
8 лет назад
9 лет назад