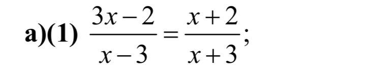
Решите уравнение пожалуйста
Приложения:

XxXxAnonimxXxX:
Почему "решить уравнение" - это задание по ГЕОМЕТРИИ?..
Ответы
Ответ дал:
2
ОДЗ:
Найденные корни удовлетворяют ОДЗ, ответ: .
Ответ дал:
1
Находим ОДЗ:
x - 3 ≠ 0.
x ≠ 3.
x + 3 ≠ 0.
x ≠ -3.
Ответ:
Вас заинтересует
2 года назад
3 года назад
3 года назад
8 лет назад
8 лет назад
9 лет назад