• Предмет: Математика
  • Автор: bdfy118
  • Вопрос задан 7 лет назад

Нужно вычеслить предел без правила лопиталя.

Приложения:

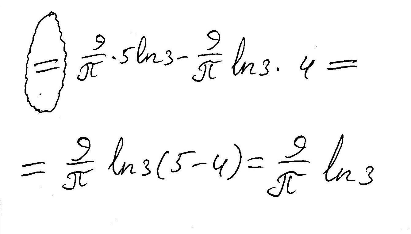
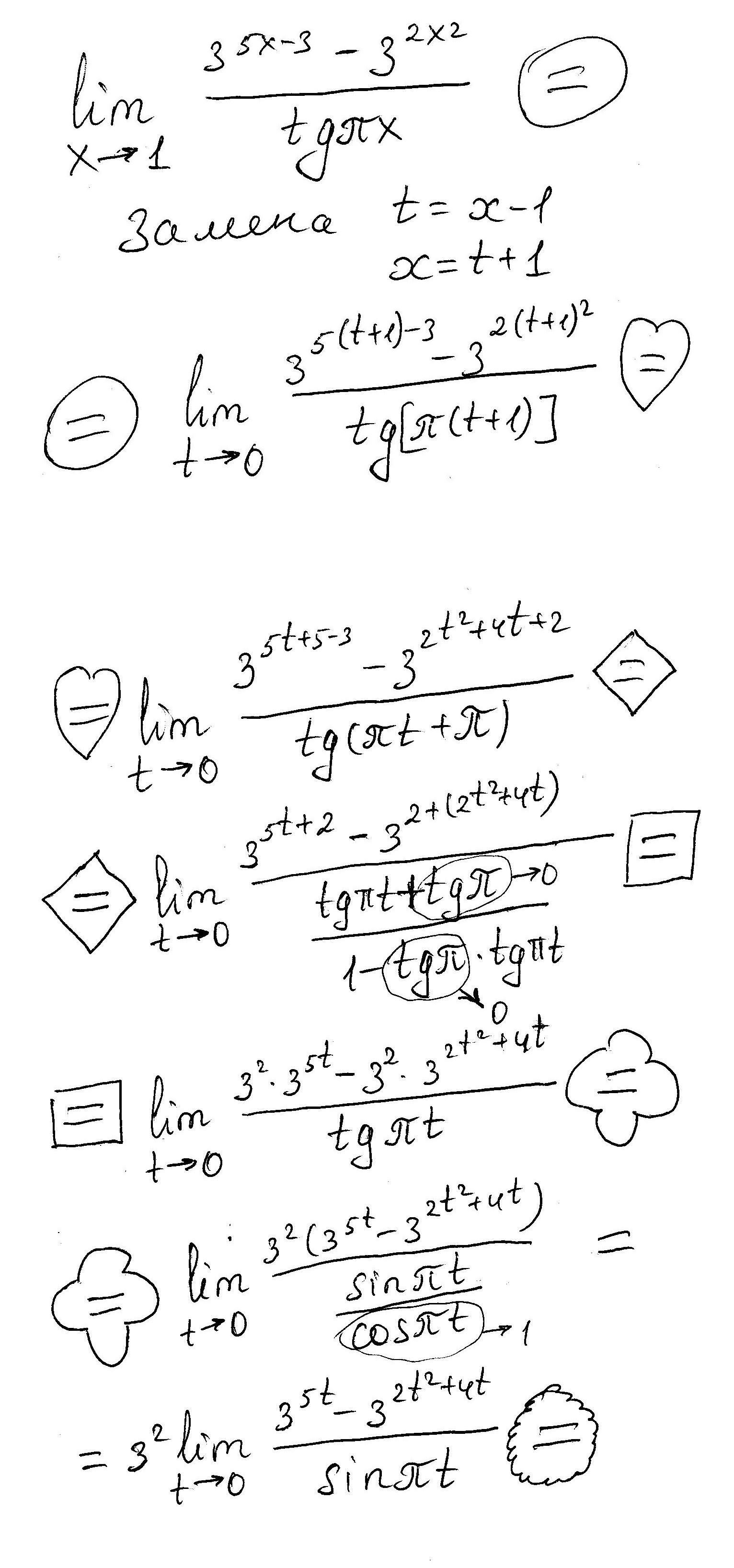
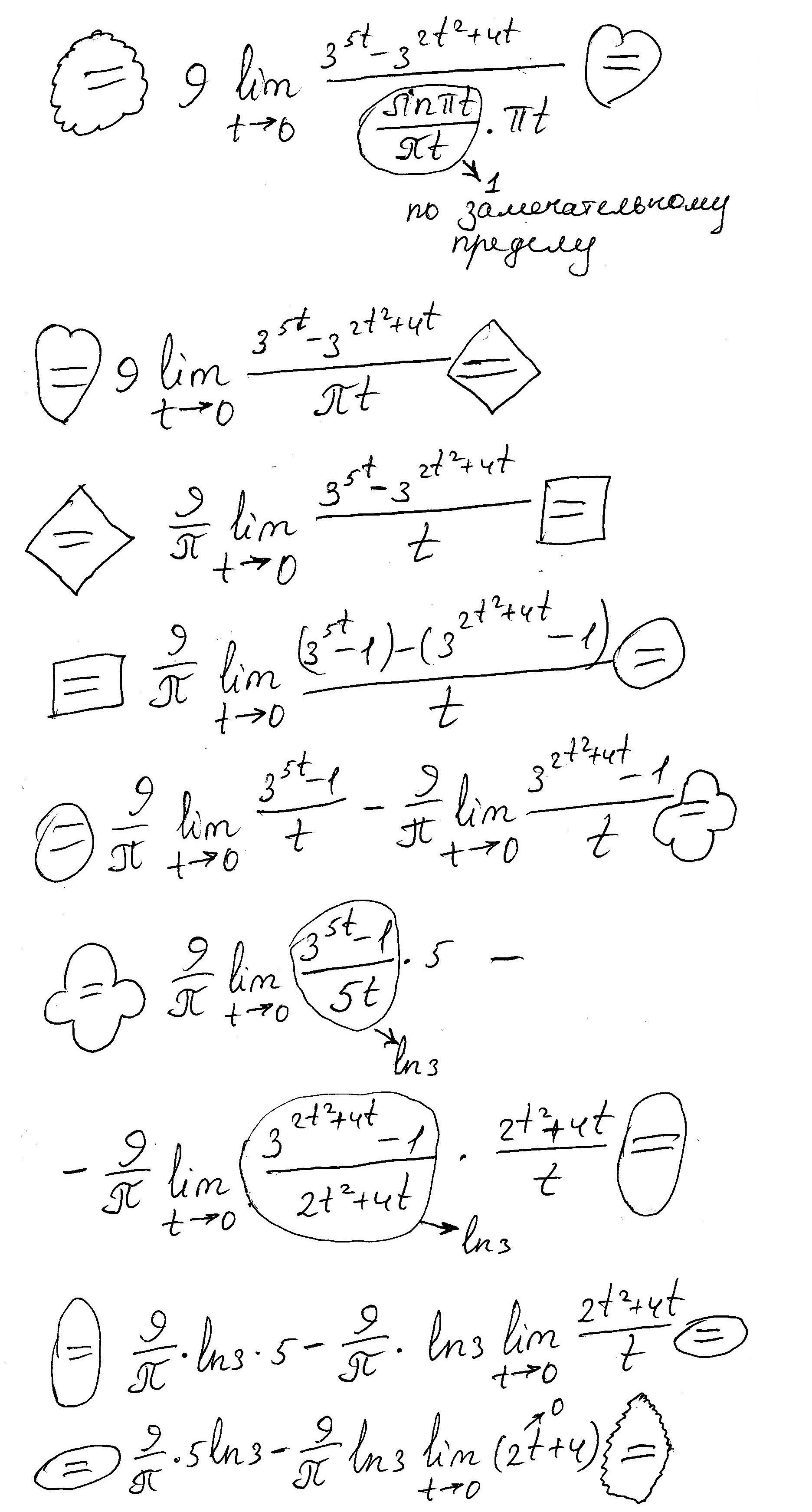
bdfy118: найти предел при x - > 1. В числителе 3^(5*x-3)-3^(2*x^2). В знаменателе tg(pi*x)
bdfy118: ттттттттттттттттттттттть

Ответы

Ответ дал: bearcab
1

Ответ:

\frac{9}{\pi}\ln 3

Пошаговое объяснение:

Приложения:

bdfy118: спасибо!
Вас заинтересует