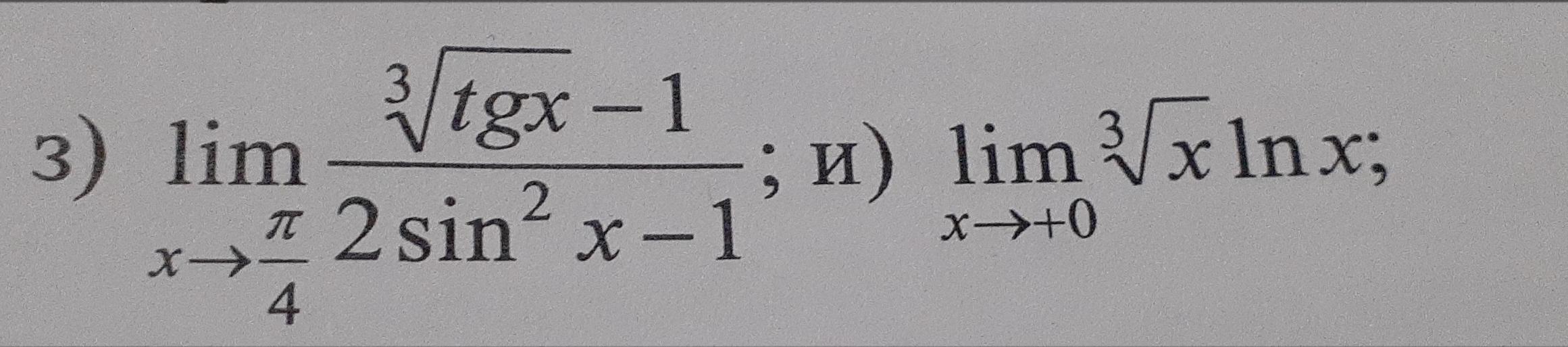
Ответы
Ответ дал:
1
Ответ:
Пошаговое объяснение:
Приложения:

dd300567:
А откуда мы получили корень из sin²x×cosx и × на cosx? То есть то выражение, которое является производной тангенса
Вас заинтересует
2 года назад
3 года назад
3 года назад
8 лет назад
9 лет назад
9 лет назад