• Предмет: Математика
  • Автор: denissro
  • Вопрос задан 7 лет назад

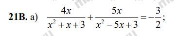
Помогите решить рациональное уравнение,срочно!!!

Приложения:

Ответы

Ответ дал: Аноним
0

ответ предоставлен на фото

Приложения:
Вас заинтересует