• Предмет: Математика
  • Автор: Аноним
  • Вопрос задан 7 лет назад

пж с решениееем срочнооооооо​

Приложения:

Ответы

Ответ дал: Elena3982
0

Пошаговое объяснение:

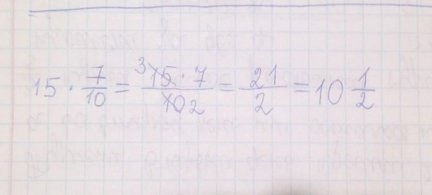
Вот тебе ответ........

Приложения:

Аноним: можеш там я вопрос поставлю помоч пж с 5-9 пжпжпж боллов 30 поставлю
Elena3982: Я не вижу вопроса.((Там всё отвечено.
Аноним: щяс поставлю
Elena3982: Хорошо.
Аноним: все 5-9 с решением пж
Аноним: бро ты тут?
Elena3982: Да
Ответ дал: Darinaamogus
0

Ответ:

0.7 • 15 = 10,5

надеюсь помогла

Вас заинтересует