• Предмет: Математика
  • Автор: denissro
  • Вопрос задан 7 лет назад

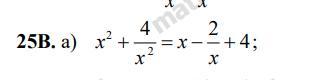
ПОМОГИТЕ РЕШИТЬ РАЦИОНАЛЬНОЕ УРАВНЕНИЕ!!С РЕШЕНИЕМ

Приложения:

Ответы

Ответ дал: Аноним
0

ответ предоставлен на фото

Приложения:
Ответ дал: bb573878
0

Ответ:

Пошаговое объяснение:

\displaystyle\\x^2+\frac{4}{x^2} =x-\frac{2}{x} +4,~~~~~x\neq 0\\\\\\\left(x-\frac{2}{x}\right)^2+4= x-\frac{2}{x} +4\\\\\left(x-\frac{2}{x}\right)^2-\left(x-\frac{2}{x}\right)=0\\\\\left(x-\frac{2}{x}\right)\left(x-\frac{2}{x}-1\right)=0\\\\1)~x-\frac{2}{x} =0;x^2-2=0;x^2=2;x=\pm\sqrt{2} \\\\2)~x-\frac{2}{x}-1=0;x^2-x-2=0\\po~Vieta:x=-1;x=2 \\\\Otvet:-1;~2;~\pm\sqrt{2}

Вас заинтересует