• Предмет: Алгебра
  • Автор: Nurzhan94
  • Вопрос задан 7 лет назад

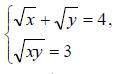
Найдите области определений

Приложения:

lidiasaraa3: х>=0,у>=0

Ответы

Ответ дал: Deksporl3
0

Ответ:

Объяснение:

Найдем область определения каждого из уравнений. Область определения корня: подкоренное выражение \geq 0.

Составим систему уравнений:

\left \{ {{y \geq 0, {x \geq 0}}} \atop {x*y \geq 0}}  \right. <=> \left \{ {{y \geq 0} \atop {x \geq 0}}  \right. - это и есть область определения системы уравнений.

Вас заинтересует