• Предмет: Алгебра
  • Автор: igromannazar5
  • Вопрос задан 7 лет назад

Помогите пожалуйста решить прошу!!!
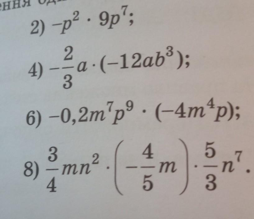
множення одночленов

Приложения:

Ответы

Ответ дал: OLGAAsaa
1

Объяснение:

2. -9р⁹

4. 8a²b³

6.0.8 m¹¹p¹⁰

8. 3/4 mn²×(-4/3mn⁷)= m²n⁹

Вас заинтересует