• Предмет: Геометрия
  • Автор: sashaturovich95
  • Вопрос задан 7 лет назад

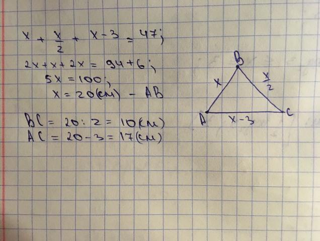
Периметр трикутника 47 сантиметрів . Знайти сторони трикутника якщо перша з них у два рази більша від другої та на три сантиметри більша від третьої

Ответы

Ответ дал: NikoGrass
0
дано: AB=x; BC=x/2; AC = x-3; P=47см
рішення дивись у фото
Приложения:
Вас заинтересует